Repetición en la Mesa de Cereal en una sesión con 1.590 cabezas de vacuno de las que 1.502 eran para vida
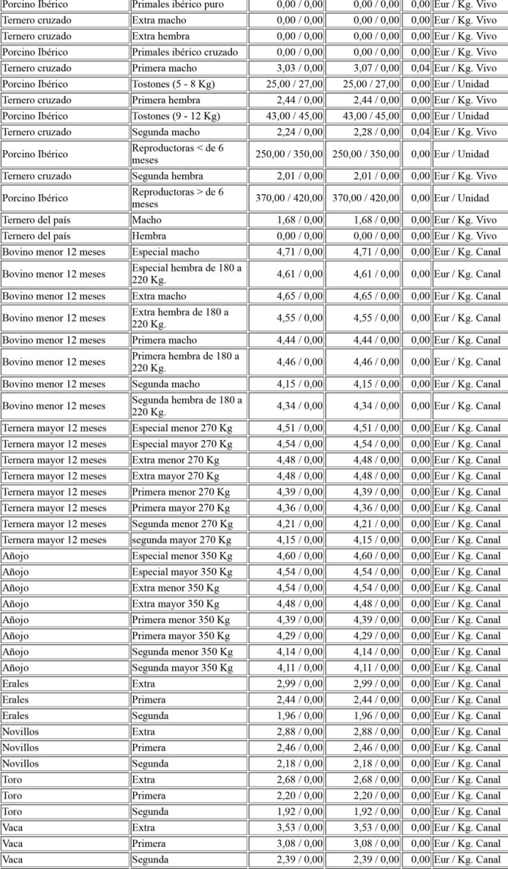
Esta sesión del mercado de ganado y la lonja de Salamanca se cerraba con una de cal y otra de arena en la Mesa del Ibérico, con una nueva bajada del precio de los corderos y la subida de los machos de vacuno para cebo, una sesión en la que se registraban 1.590 animales de los que 1502 eran para vida. Por otro lado, se registraron 10 toros y 78 vacas para sacrificio, donde se repitieron las cotizaciones.
Así, el precio de los machos de vacuno para cebo subían 0,04 €/K., lo que significa 8 euros por animal para ponerse a 535 euros como precio de referencia, mientras que las hembras se mantienen a 445 euros y los terneros del país a 336 euros.
En la Mesa de Ovino se acordaba una nueva bajada de precios de los corderos, en este caso de -0,10 €/K. por -0,05 €/K. para los lechazos de hasta 11 kilos.
Por su parte, en la Mesa de Porcino los tostones repetían precios, no así los lechones, que subían 1,00 €/U. para colocarse a 44 euros. También subía el precio de las cerdas, en esdta ocasión 0,01 €/K. Y en ibérico, el Cebo de Campo y el Cebo bajaban -0,01 €/. Mientras lechones y marranos subían 0,05 y 0,10 €/K. respectivamente. En la Mesa de despiece solo variaba el pecio del magro extra, que volvía a caer, ahora -0,03 €/K.
Por último, en la Mesa de Cereal se repetían una semana más las cotizaciones.


