Los machos de bovino para vida volvían a cotizar al alza en una sesión en la que se registraron 1.933 animales de los que 1.821 eran para cebo
Una semana más el mercado de ganado y la lonja de Salamanca mantiene la tendencia de precios en lo que llevamos de 2022. En esta nueva sesión se acordó una nueva bajada del precio de corderos y lechazos, también de los tostones, y la cotización al alza del vacuno de cebo con el porcino blanco e ibérico.
En la Mesa de Ovino se acordó una bajada de -0,20 €/K. para los lechazos y de -0,10 €/K. para los corderos, mientras que el precio de las ovejas para sacrificio subía 10 €/U. para cotizar entre los 40 y los 70 €/U.
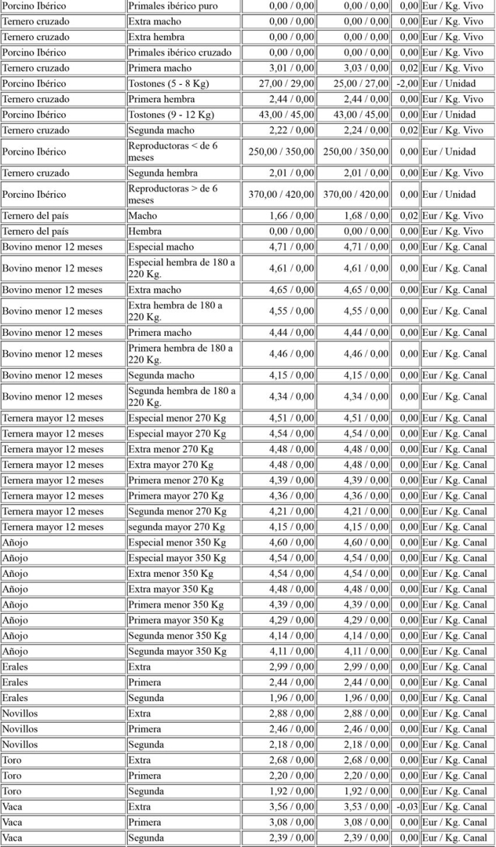
En el mercado de ganado se registraban 1.933 animales de los que 1.821 eran para vida. De estos, los machos subían 0,02 €/K., también los terneros del país, mientras que el precio de las hembras no se movía. También se repetía precios en el sacrificio, a excepción de las vacas extra, cuya cotización bajaba -0,03 €/K.
La Mesa de Porcino blanco aprobaba una subida de 0,01 €/K. para las categorías normal y graso, 0,02 €/K. para el selecto, 0,03 €/K. para las cerdas y 2,00 €/U. para los lechones, mientras que los tostones caían -1,00 €/U. Los tostones de ibérico pequeños bajaban -2,00 €/U., mientras que los lechones subían 0,05 €/K. por 0,10 €/K. los marranos.
En la mesa de despiece, una semana más solo se movía el precio del magro extra, que baja -0,04 €/K., por -0,03 €/K. el lomo de cebo de campo y el de cebo.
Por último, en la Mesa de Cereal se optaba un lunes más por la repetición, a excepción del paquete grande de paja, que subía 1,00 €/T. para cotizar a 36 €/T.


